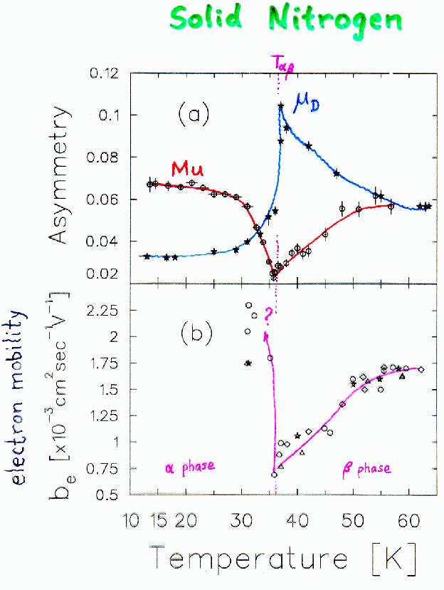
T-dep of Mu and Dia Asymm in s-N2 vs. Electron Mobility
Author: JHB
.
Figure created ~ 1992
.
See TRIUMF Expt 599
.
Prepared by
Jess H. Brewer
Last modified: Sat Nov 29